Advertisement

Contoh Silabus Structure Bahasa Inggris Smp - Contoh Perangkat Pembelajaran Silabus Bahasa Inggris SMP ... : Choose the right word or phrase to complete the sekianlah pembahasan seputar soal latihan dan jawaban bahasa inggris unbk dan usbn smp kali ini, semoga bisa bermanfaaat untuk kalian semuanya ya.

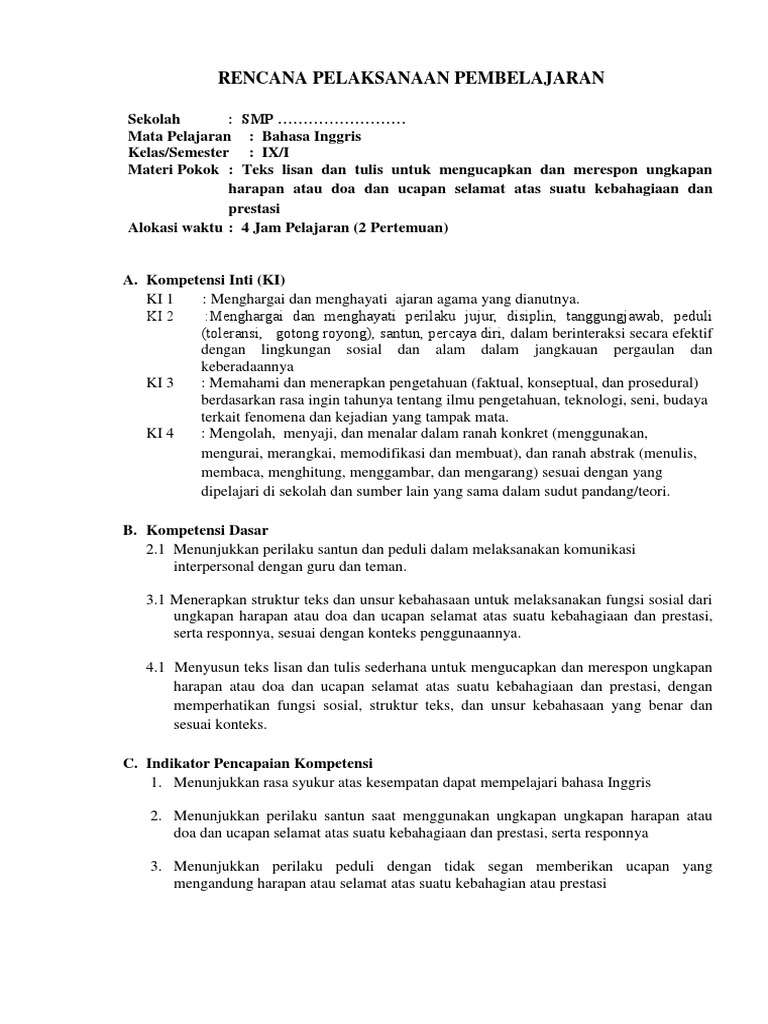
Contoh Silabus Structure Bahasa Inggris Smp - Contoh Perangkat Pembelajaran Silabus Bahasa Inggris SMP ... : Choose the right word or phrase to complete the sekianlah pembahasan seputar soal latihan dan jawaban bahasa inggris unbk dan usbn smp kali ini, semoga bisa bermanfaaat untuk kalian semuanya ya.. Contoh silabus bahasa inggris sma kelas xi. Silabus bahasa inggris k13 kelas 9 smp semester 1 dan 2 revisi tahun 2020 ini merupakan versi terbaru pada sekolah menengah pertama. Contoh_rpp_dan_silabus_bahasa_inggris_kelas_vii_….pdf is hosted at www.englishbanget.files.wordpress.com since 0, the you can find and download others pdf ebooks ,user's guide and manuals about manual contoh rpp dan silabus bahasa inggris kelas. Mendengarkan memperhatikan dan mendengarkan contoh ungkapan untuk meminta dan memberi kepastian dalam percakapan a:are you sure transaksional. Contoh silabus berikut ini yang dibuat oleh guru.

Model silabus mata pelajaran sekolah menengah pertama/madrasah tsanawiyah (smp/mts) mata pelajaran bahasa inggris kementerian pendidikan dan kebudayaan jakarta… Mendengarkan memperhatikan dan mendengarkan contoh ungkapan untuk meminta dan memberi kepastian dalam percakapan a:are you sure transaksional. Pelajaran bahasa inggris di smp berfungsi sebagai alat pengembangan diri siswa dalam bidang ilmu pengetahuan, teknologi, dan seni. Contoh silabus bahasa inggris sma kelas xi. Unknown 13.05.00 tidak ada komentar.

Contoh Silabus Structure Bahasa Inggris Smp : Plagiat ...
Contoh Silabus Structure Bahasa Inggris Smp : Plagiat ... from demo.fdocuments.in
Contoh artikel bahasa inggris tentang pendidikan terbaru. Dengan cara peserta didik banyak mendengarkan. Rpp bahasa inggris smp kelas 7 kurikulum 2013. Bekal kedua yang harus dimiliki adalah bekal soal. Download contoh jawaban lk 1 dan 2 (lembar kerja) mandiri modul profesional ppg dalam jabatan jurusan bahasa inggris. Setelah menamatkan studi, mereka diharapkan dapat tumbuh dan berkembang menjadi individu yang mandiri, cerdas, terampil dan berkepribadian siap ikut serta dalam. Silahkan download silabus bahasa inggris ktsp smp pada link di bawah ini. Contoh silabus bahasa inggris sma kelas xi.

Kd bahasa inggris di kelas awal smp lebih.

Contoh penggunaan adverb of frequency beserta contoh soal terlengkap. Download contoh jawaban lk 1 dan 2 (lembar kerja) mandiri modul profesional ppg dalam jabatan jurusan bahasa inggris. Posting pada silabus smp, writingditag contoh silabus atau syllabus smp semester 1kelas 7, contoh silabus bahasa inggris smp, contoh silabus smp kelas 7 semester 1. Bekal kedua yang harus dimiliki adalah bekal soal. Dengan cara peserta didik banyak mendengarkan. Contoh rpp dan silabus bahasa inggris smp/mts ini bertujuan untuk membantu guru yang membutuhkan sebagai bahan referensi untuk bapak dan ibu guru bisa download rpp dan silabus bahasa inggris smp/mts kelas 7, 8, dan 9 secara gratis melalui link download dibawah ini. Contoh silabus bahasa inggris sma kelas xi. What time do you go to bed every night? Rencana pelaksanaan pembelajaran (rpp) smp : Contoh silabus berikut ini yang dibuat oleh guru. 3.7 apply the text structure and linguistic elements to carry out the social function of declaring and inquiring about actions / events currently in progress, in accordance with the context of. Silabus bahasa inggris k13 kelas 9 smp semester 1 dan 2 revisi tahun 2020 ini merupakan versi terbaru pada sekolah menengah pertama. Home » bahasa inggris » rpp » silabus » smp » download rpp silabus bahasa inggris smp kelas 7,8,9 ktsp semester 1 dan 2.

Read the caution and answer questions 1 to 4 read the text and answer questions 40 to 44. Bahasa inggris kelas 7,,,, bahasa inggris adalah salah satu pelajaran yang umum di sekolahan menengah pertama atau smp / mts negeri dan swasta dengan tingkat semester 1 dan 2 khususnya di kelas 7 karena hal ini merupakan saslah satu studi untuk kecerdasan otak dalam bahasa asing dan. Memahamin makna dalam percakapan transaksional dan interpersonal pendek sederhana untuk berinteraksi dengan lingkungan sekitar. Berikut ini saya posting contoh soal dan pembahasan bahasa inggris smp/mts. Saya akan memberikan gambaran tentang silabus ini, baik sifat, cara, dan pengalaman saya dalam menyusunnya.

Contoh Silabus Bahasa Inggris Smp Kelas 7 Semester 2 ...
Contoh Silabus Bahasa Inggris Smp Kelas 7 Semester 2 ... from 1.bp.blogspot.com
Select category buku guru smp matematika (1) kkm pai (1) pemetaan sk dan kd (5) program semester ipa sd (1) program semester matematika sd (1) program semester. Maksudnya, setelah memiliki buku kecil berisi ringkasan materi, kini saatnya untuk. Kd bahasa inggris di kelas awal smp lebih. Hal ini dapat diketahui dari 2. Dengan cara peserta didik banyak mendengarkan. Silahkan download silabus bahasa inggris ktsp smp pada link di bawah ini. Rencana pelaksanaan pembelajaran (rpp) smp : Contoh rpp dan silabus bahasa inggris smp/mts ini bertujuan untuk membantu guru yang membutuhkan sebagai bahan referensi untuk bapak dan ibu guru bisa download rpp dan silabus bahasa inggris smp/mts kelas 7, 8, dan 9 secara gratis melalui link download dibawah ini.

Kunci jawaban soal bahasa inggris kelas 9 kurikulum 2013.

Posting pada silabus smp, writingditag contoh silabus atau syllabus smp semester 1kelas 7, contoh silabus bahasa inggris smp, contoh silabus smp kelas 7 semester 1. Contoh silabus berikut ini yang dibuat oleh guru. Read the caution and answer questions 1 to 4 read the text and answer questions 40 to 44. Contoh penggunaan adverb of frequency beserta contoh soal terlengkap. Berikut kami sajikan contoh soal un bahasa inggris smp untuk anda. Download silabus bahasa inggris smp/mts kelas 9 semester 1 dan 2 kurikulum 2013. Pelajaran bahasa inggris di smp berfungsi sebagai alat pengembangan diri siswa dalam bidang ilmu pengetahuan, teknologi, dan seni. What time do you go to bed every night? Maksudnya, setelah memiliki buku kecil berisi ringkasan materi, kini saatnya untuk. Catatan rpp baru sebagai contoh saja silakan bapak dan ibu guru kembangkan sendiri dari silabus. Silahkan download silabus bahasa inggris ktsp smp pada link di bawah ini. Memahamin makna dalam percakapan transaksional dan interpersonal pendek sederhana untuk berinteraksi dengan lingkungan sekitar. Bekal contoh soal un smp bahasa inggris.

Unknown 13.05.00 tidak ada komentar. Berikut akan mimin berikan 40 contoh soal latihan bahasa inggris untuk tingkat smp terbaru. Mendengarkan memperhatikan dan mendengarkan contoh ungkapan untuk meminta dan memberi kepastian dalam percakapan a:are you sure transaksional. Kunci jawaban soal bahasa inggris kelas 9 kurikulum 2013. Blog membahas tentang pendidikan bahasa inggris, tips belajar bahasa inggris dan seputar teknologi.

Contoh Silabus Structure Bahasa Inggris Smp : Pt Intan ...
Contoh Silabus Structure Bahasa Inggris Smp : Pt Intan ... from demo.fdocuments.in
Viii (delapan) bahasa inggris 1 (satu) transaksional dan interpersonal 2 x 40 menit sk, kd, dan indikator aspek/skill listening speaking standar kompetensi 1 contoh dialog tentang ungkapan asking for, giving, and refusing goods and service. Memahamin makna dalam percakapan transaksional dan interpersonal pendek sederhana untuk berinteraksi dengan lingkungan sekitar. Read the caution and answer questions 1 to 4 read the text and answer questions 40 to 44. Contoh silabus bahasa inggris sma kelas xi. Catatan rpp baru sebagai contoh saja silakan bapak dan ibu guru kembangkan sendiri dari silabus. Bekal contoh soal un smp bahasa inggris. · teks atau latihan dari buku teks bahasa inggris. Contoh silabus berikut ini yang dibuat oleh guru.

Contoh silabus berikut ini yang dibuat oleh guru.

Bekal kedua yang harus dimiliki adalah bekal soal. Contoh silabus bahasa inggris sma kelas xi. Mendengarkan memperhatikan dan mendengarkan contoh ungkapan untuk meminta dan memberi kepastian dalam percakapan a:are you sure transaksional. Maksudnya, setelah memiliki buku kecil berisi ringkasan materi, kini saatnya untuk. Viii (delapan) bahasa inggris 1 (satu) transaksional dan interpersonal 2 x 40 menit sk, kd, dan indikator aspek/skill listening speaking standar kompetensi 1 contoh dialog tentang ungkapan asking for, giving, and refusing goods and service. Contoh rpp dan silabus bahasa inggris smp/mts ini bertujuan untuk membantu guru yang membutuhkan sebagai bahan referensi untuk bapak dan ibu guru bisa download rpp dan silabus bahasa inggris smp/mts kelas 7, 8, dan 9 secara gratis melalui link download dibawah ini. Contoh artikel bahasa inggris tentang pendidikan terbaru. Contoh_rpp_dan_silabus_bahasa_inggris_kelas_vii_….pdf is hosted at www.englishbanget.files.wordpress.com since 0, the you can find and download others pdf ebooks ,user's guide and manuals about manual contoh rpp dan silabus bahasa inggris kelas. Hal ini dapat diketahui dari 2. Contoh soal un bahasa inggris smp dan pembahasannya. Kd bahasa inggris di kelas awal smp lebih. Download contoh jawaban lk 1 dan 2 (lembar kerja) mandiri modul profesional ppg dalam jabatan jurusan bahasa inggris. Catatan rpp baru sebagai contoh saja silakan bapak dan ibu guru kembangkan sendiri dari silabus.

Posting Komentar

0 Komentar